大家好,我是间充质干细胞,英文简称MSC。
什么?没见过我?好吧,先来爆个照~

最近有一个充满玄学色彩的新闻你们看过没?
一篇有关“熟蛋返生孵雏鸡”的论文这周在网上疯传,论文作者是一名职业培训学校的校长郭某。该文说学生们在郭校长的指导下,运用自己的“超心理意识能量方法”等,将煮熟的鸡蛋返生为生鸡蛋,再孵化出雏鸡,而且已经成功返生熟鸡蛋40多枚。

更绝的是,郭某还有物体穿瓶越壁、熟绿豆返生发芽等相关“著作”。在熟绿豆的返生实验中,绿豆可以发声,学生还能与绿豆对话并区分绿豆的性别……
是不是活久见、碎三观?反正我已经看呆了,“心理能量”是什么鬼?它能变出鸡仔?这是抢我们的活啊!



中学生都知道,生物是由我们细胞一族组成的,长时间蒸煮时的高温会让我们和蛋白失去活性,不可能再有“生命力”。如果用100℃的沸水煮过的鸡蛋都能“返生孵小鸡”,那真是在侮辱我们!还连带着推翻了数十年来细胞学家们的辛勤劳动。这已经不是奇葩,而是奇幻了。
说完这事儿,咱们还是要聊点正经的高科技
在生物世界里,真正可被称作“生命种子”的,其实就是我们干细胞,特别是有一种能够发育成具有各种组织器官的完整个体生命的全能干细胞。
受精卵就是一个全能干细胞。生物,包括人类发育的过程,都是从它开始的。在生活中你也见过的,比如鸡蛋(当然是生的),就是不折不扣的全能干细胞。

我们的家族中还有一些伙伴,也能分化成多种细胞、组织,却失去了发育成完整个体的能力,发育潜能受到一定的限制,它们叫多能干细胞。现在医学界炙手可热的间充质干细胞——就是我们——就是多能干细胞。

简单来说,我们干细胞就像“树干”,可以长出新的叶子、新的枝干。你每天的头发、指甲在不断生长,受伤的肌肤能够愈合,都是我们在起作用。
不过相比于普通的体细胞,我们的数量还是非常少的。而且就像机器零件会老化一样,随着年龄的增长,我们在多次更新换代之后,活性也会大大降低,而且逐渐步入衰亡。

当新生细胞的数量不足以完全替换衰亡细胞,我们整个群体的数量就变少,人体衰老、发生疾病就不可避免。
所以,如果你能趁着身体健康,把我们当中的一部分伙伴保存起来,未来扩增之后再补充回去,就能及时修复、更换你的“人体零件”,还能进行深度抗衰和八大系统慢性疾病的辅助治疗,保持人体健康,提高你的生活质量。这也是目前国际上最流行的健康管理模式。

对了,差点忘了介绍我的出身:
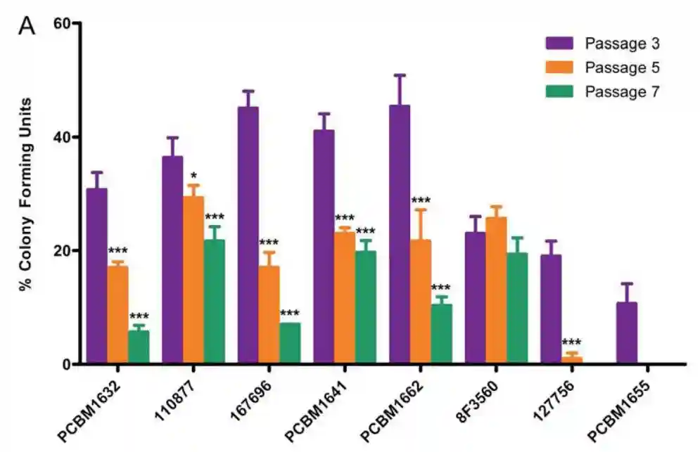
我是海尔国际细胞库制备培养的P3代间充质干细胞理论上,我们是可以长期传代培养的。不过考虑到我们多次传代之后的活性和生命周期等健康指标,在临床应用中,还是建议挑选P3-P7代内的干细胞,这也是国际细胞治疗协会建议的,不推荐选择代次较高的MSC。
为何不选择早期的干细胞呢?因为太早期的干细胞,比如P0代的原始干细胞,由于刚刚从组织中被取出,还来不及进行净化和检测,有可能在提取过程中被感染。活性虽然很高,但产品的安全保障却没有了。而且较早期的干细胞,在没有体外培养扩增的情况下,干细胞客观含量并不高,也达不到临床标准。
根据海尔国际细胞库实验室制备的细胞,分析P0-P11代的相关数据,发现P3代间充质干细胞综合素质最优!

P3代间充质干细胞优势
细胞更饱满

P3代细胞形态饱满,活性好,修复力更强
生命周期更长

P3代凋亡1.34%,P6代凋亡11.4%,P3代细胞存活周期长,在体内发挥作用的时间也更长
定向分化能力更强成骨能力更优:第3代MSC,ALP活性最佳,成骨性更好,更适合运用于运动系统疾病临床;

成脂能力最强:P3代成脂性最优,高于P7代5倍,更适合运用于美容抗衰、心梗恢复等临床方向;

向神经细胞转化更多:P3代细胞更适合于神经系统疾病临床运用。


P3代MSC更利于促进组织细胞发生、再生,促进血管新生。
体检达标后,通过抽脂取样,或脐带胎盘取样,将您的脂肪或脐带、胎盘中的干细胞进行深低温冻存。
























